3 年
手机商铺
公司新闻/正文
631 人阅读发布时间:2024-11-13 09:10
CD77,也称为球三糖神经酰胺(Gb3)、伯基特淋巴瘤相关抗原(BLA)、神经酰胺三己糖苷(CTH)和Pk血型抗原,是一种中性鞘糖脂。它主要表达于生发中心B淋巴细胞的某些亚群中,尤其是中心母细胞。这些细胞在扁桃体和粘膜淋巴组织中较为常见,但在外周血、骨髓和脾脏中的数量相对较少。CD77是志贺毒素(由志贺氏菌和某些大肠杆菌菌株产生)的受体。研究表明,交联CD77可以诱导某些B细胞系的细胞凋亡,表明它在免疫调节过程中可能扮演关键角色。

Fig 1.CD77,球三糖神经酰胺(R 是碳链)结构式
CD77的临床意义
CD77(Globotriaosylceramide, Gb3)在某些肿瘤如伯基特淋巴瘤(Burkitt Lymphoma,BL)和头颈癌(Head and Neck Cancer,HNC)中异常高表达,并与肿瘤的进展、增殖、侵袭密切相关。此外,CD77与遗传性疾病法布里病(Fabry disease,FD)相关,法布里病由于α-半乳糖苷酶缺陷导致Gb3积聚,药物migalastat通过增强该酶的功能,减少Gb3积累以缓解症状。CD77同时也是志贺毒素的靶标,通过与志贺毒素(Shiga toxin)结合,触发钙离子、cAMP和神经酰胺的信号通路,诱导细胞凋亡,导致严重的病理反应。

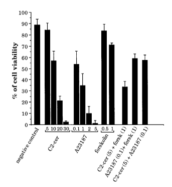
Fig 2.C2-神经酰胺(C2-ceramide)、钙离子载体(A23187)和福司可林(forskolin)对CD77+ Daudi淋巴瘤细胞活力的影响
CD77流式细胞术抗体的研究与应用
流式细胞术是一种高效的细胞分析技术,可以对细胞表面标志物进行定量分析。针对CD77的流式细胞术抗体在科研和临床上具有重要意义,能够用于癌症诊断、疾病进展监测及靶向治疗评估。
AntibodySystem 提供的CD77经典克隆抗体(38.13、5B5、6A2)具备高特异性、高灵敏度和广泛适用性。无论是用于伯基特淋巴瘤(BL)还是头颈癌(HNC)等恶性肿瘤研究,我们的抗体都能满足您的实验需求。

Fig 3.基于50,000个细胞的数据,三种不同的抗-CD77抗体克隆(38.13、5B5、6A2)进行的细胞周期分析
通过FITC、APC和PE等多种荧光标记,我们的抗体适用于各种流式细胞实验,助您获得高质量、精准的检测结果。立即选择AntibodySystem,探索CD77表达的科学奥秘,助力您的科研项目突破新高度。
|
Target |
Clone Number |
CAT. |
Species |
Conjugate |
|
CD77 |
38.13 |
FGN55610 |
Mouse |
Unconjugate |
|
FGN55611 |
Mouse |
FITC |
||
|
FGN55612 |
Mouse |
APC |
||
|
FGN55613 |
Mouse |
PE |
||
|
5B5 |
FGN55620 |
Mouse |
Unconjugate |
|
|
FGN55621 |
Mouse |
FITC |
||
|
FGN55622 |
Mouse |
APC |
||
|
FGN55623 |
Mouse |
PE |
||
|
6A2 |
FGN55630 |
Mouse |
Unconjugate |
|
|
FGN55631 |
Mouse |
FITC |
||
|
FGN55632 |
Mouse |
APC |
||
|
FGN55633 |
Mouse |
PE |
产品咨询及其他技术咨询请发送邮至:
products@biolabreagent.com
参考文献:
[1]Högerkorp, Carl-Magnus, and Carl A K Borrebaeck. “The human CD77- B cell population represents a heterogeneous subset of cells comprising centroblasts, centrocytes, and plasmablasts, prompting phenotypical revision.” Journal of immunology (Baltimore, Md. : 1950) vol. 177,7 (2006): 4341-9. doi:10.4049/jimmunol.177.7.4341